1answer.
Ask question
Login Signup
Ask question
All categories
  • English
  • Mathematics
  • Social Studies
  • Business
  • History
  • Health
  • Geography
  • Biology
  • Physics
  • Chemistry
  • Computers and Technology
  • Arts
  • World Languages
  • Spanish
  • French
  • German
  • Advanced Placement (AP)
  • SAT
  • Medicine
  • Law
  • Engineering
tatyana61 [14]
3 years ago
5

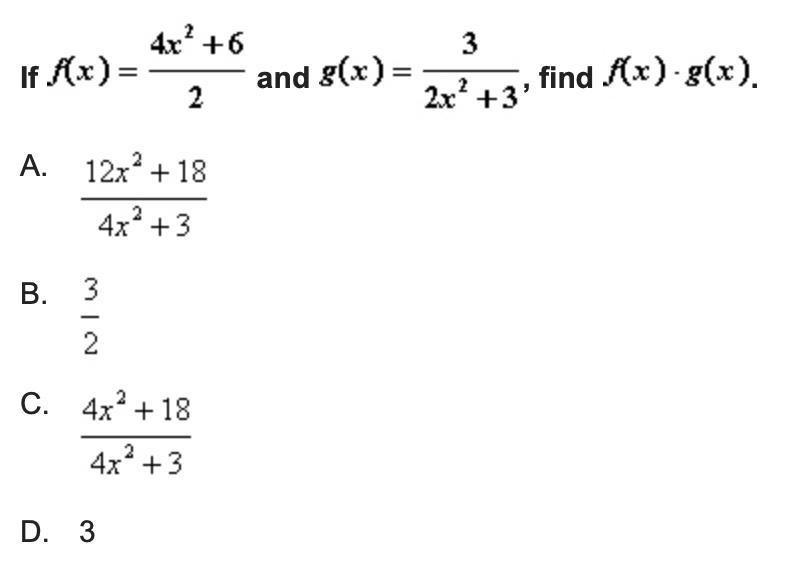
Help Quick!!!!!!! 11 pointssssssssssssssss!!!!!!!!!!!

Mathematics
2 answers:
padilas [110]3 years ago
5 0

Answer:

A

Step-by-step explanation:

because 4x² + 6 can be written as 2(2x² + 3) hence cancelling out the 2 in the denominator

then multiply by 3 and you get A

VladimirAG [237]3 years ago
4 0

Answer i need points hehe

Step-by-step explanation:

You might be interested in
Write the percent as a fraction or mixed number in simplest form. 72.5
barxatty [35]

Answer:

29/40

Step-by-step explanation:


6 0
3 years ago
Use the points to describe the data and determine the line of best fit.
Scilla [17]

Answer:

Negative     1200feet     Y=-6.25x+1200

Step-by-step explanation:

7 0
3 years ago
Read 2 more answers
IM GOING TO GIVE 251 POINTS TO WHOEVER ANSWER THIS PROBLEM.
Mariulka [41]

Answer:

(x^87*(x^2+4))/54

Step-by-step explanation:

4 0
2 years ago
Pls answer this question
kupik [55]

Answer: 155y seconds

Step-by-step explanation:

Difference between 3y minutes and 25y seconds is written as

3y minutes- 25y seconds

First, Convert minutes to seconds = 60 seconds makes 1 minute, therefore, 3 minutes = 60 x 3= 180 seconds

Therefore 180y seconds - 25y seconds

= 155y seconds

I hope this helps, please mark as brainliest answer

4 0
3 years ago
Read 2 more answers
Which statement about this equation is true?
Viktor [21]
The equation has no solution because:

5(n+10)=5n+10n
5n+10n=5n+10n
I subtract 5n from both sides
10n=10n
Only one side is supposed to have the variable which is n, so the equation has no solution.
4 0
3 years ago
Other questions:
  • PLEASE PLEASE HELP ME!! (Ignore the writing on the paper)
    6·2 answers
  • A paint can has a radius of 4 inches and a height of 15 inches. What is the volume of the paint can? Round to the nearest tenth.
    14·2 answers
  • Robert is 15 years older than his sister, Helen. The sum of their ages is 63. Find their ages.
    9·1 answer
  • samuel needs to estimate the product of 23 * 395. explain two different methods Samuel can use to estimate.
    14·1 answer
  • Is (2,4) a solution of 2x - 7y < -10
    12·2 answers
  • A blueprint for a house states that 2.5 inches equals 10 feet. If the length of a wall is 12 ft , how many inches is the wall in
    9·1 answer
  • PLEASE HELP WILL MARK BRAINLIEST
    8·2 answers
  • In MNP, what is sin M?
    10·2 answers
  • Step by Step explanation of Vertex Form of f(x)=x^2-6x-40
    12·1 answer
  • SOMEONE PLEASE HELP ME WITH THIS QUESTION!
    9·2 answers
Add answer
Login
Not registered? Fast signup
Signup
Login Signup
Ask question!