Simplify the sum. State any restrictions on the variables.
1 answer:
The sum is
.
Solution:
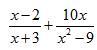
Given equation:


Using algebraic expression: 

To make the denominator same, multiply and divide the first term by (x –3)





Cancel the common factors.
; but x ≠ –3
If you substitute x = –3, the value is indeterminate.
Hence the sum is
.
You might be interested in
Answer: -3x-5
Step-by-step explanation:
Answer:
<h2>x = -1 and -4.</h2>
Explanation is given in the above photo.
Answer:
The fisrt one were it almost hits 3
Step-by-step explanation:
Use Desmos, it’s a graphing app
Multiply both sides by 12 to get a = 240