Answer:
<u>1.75</u>
Step-by-step explanation:
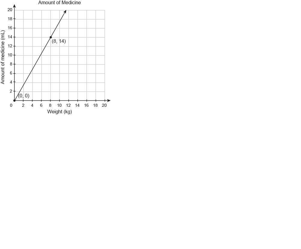
The question is incomplete. I add the missing graph in this answer.
We can see that the graph of the function that relates the amount of medicine in milliliters and the weight in kilograms is a line.
In order to find the unit rate in milliliters per kilogram we can divide the two coordinates from any of the points in the graph (except the coordinates of the point
).
We know by looking the graph that the point
belongs to the graph.
The point
is actually 
So if we divide the coordinate ''y'' by the coordinate ''x'' we will obtain the unit rate in milliliters per kilogram :

We can obtain the unit rate like this because the graph is a straight line.
We conclude that the unit rate in milliliters per kilogram is <u>1.75</u>