1answer.
Ask question
Login Signup
Ask question
All categories
  • English
  • Mathematics
  • Social Studies
  • Business
  • History
  • Health
  • Geography
  • Biology
  • Physics
  • Chemistry
  • Computers and Technology
  • Arts
  • World Languages
  • Spanish
  • French
  • German
  • Advanced Placement (AP)
  • SAT
  • Medicine
  • Law
  • Engineering
ozzi
4 years ago
9

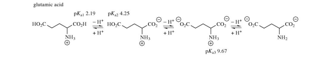
. The pI is called ________________. The rule of calculating pI of an amino acid is that first, write the dissociation equation

from fully protonated form to fully deprotonated form, label the charge of each form; second, identify the zwitterionic form (zero charge) and find the closest pKs (left and right side in the dissociation equation); third, average these two pKs. Write the dissociation equations for amino acids, glutamate, histidine, and calculate their pIs.

Chemistry
1 answer:
umka21 [38]4 years ago
6 0

Answer:

The isoelectric point is that the <u>pH </u>at which the compound is in an electronically neutral form.

For diss equations<u>, p</u>lease find them in the enclosed file.

The pIs of 2 amino acids:

  • Glutamate: pI = 3,2
  • Histidine: pI = 7,6

Explanation:

Formula for the pI calculation: pI = (pKa1 + pKa2)/2

Given 3 pKa :

  • Acid glutamic with an acid sidechain:

Use the lower 2  pKas (corresponding with 2 -COOH groups)

pKa1 = 2,19; pKa2 = 4,25; so pI = 3,2

  • Histidine with 2 amino groups:

Use the higher 2 pKas ( -COOH group and -NH= group)

pKa1 = 6; pKa2 = 9,17; so pI = 7,6

You might be interested in
Solubility
Inga [223]

Non electrolytes are Pentacarbon decahydride, Phosphorus pentachloride, Glucose.

<u>Explanation:</u>

Non electrolytes do not exist as ions in aqueous solution. Since it does not get dissociated into ions, these non electrolytes do not conduct electricity when it is dissolved or it is heated or melted.

Pentacarbon decahydride is a non electrolyte.

Magnesium chloride is an electrolyte.

Copper phosphate is an electrolyte

Sulfur trioxide is an electrolyte.

Aluminum oxide is an electrolyte

Phosphorus pentachloride do not get dissociated into its ions so it is a non-electrolyte.

Glucose gets dissolved in water but do not dissociate into ions, so it is a non electrolyte.

5 0
3 years ago
What type of cleaner is appropriate for grease that has built up on appliances?
evablogger [386]
Baking soda and dish soap! youre welcome

6 0
4 years ago
Read 2 more answers
Can someone please help me?
andrew11 [14]

Answer:the mass of the gases and ash should be equal the mass of the initial stack of newspapers, there are equal number of atoms on both sides

Explanation:no matter what form the newspaper would take the mass stays the same because all you did is burn it, conserve means that each atom's mass will stay the same no matter what.

6 0
3 years ago
What is the significance of the fact that chromosomes condense before they are moved.
natka813 [3]

Answer:

It allows for easier division of the sister chromatids into two identical chromosomes, one for each cell, and helps to prevent mistakes. You just studied 2 terms!

Explanation:

7 0
3 years ago
Mirex(MW = 540) is a fully chlorinated organic pesticide that was manufactured to control fire ants. Due to its structure, mirex
Delicious77 [7]

Answer:

The solution to the given problem is done below.

Explanation:

a)

i) =( 0.002 μg / L )( 1mg / 1000 μg )( 1L / kg )( 1000 mil / 1 billion) = 0.002 ppb

ii) =( 0.002 μg / L )( 1mg / 1000 μg )( 1L / kg )( 1,000,000 mil / 1 trillion) = 2 ppt

iii) =( 0.002 μg / L )( 1 mole / 540g ) = 3.7 x 10^{-6}μM.

b)

i) =( 0.002 μg / g ) = 0.002 ppm

ii) In solids, ppb = μg/kg

=( 0.002 μg / g )( 1000 mil/ 1 billion) = 2 ppb

7 0
3 years ago
Read 2 more answers
Other questions:
  • A sample of pure calcium fluoride with a mass of 15.0 g contains 7.70 g of calcium. How much calcium is contained in 40.0 g of c
    8·1 answer
  • The equation that shows the relationship between speed, wavelength, and frequency of electromagnetic waves is
    10·1 answer
  • The equation for the reaction is
    14·1 answer
  • An unknown or changeable quantity is called a(n)...
    8·1 answer
  • SOLVE A 4.80-gram piece of magnesium displaces 2.76 mL of water when it is placed in a graduated cylinder. What is the density o
    10·1 answer
  • A certain alcohol contains only three elements, carbon, hydrogen, and oxygen. Combustion of a 60.00 gram sample of the alcohol p
    8·1 answer
  • Atomic radii decrease, moving from left to right across a period. As a result, the electrons become closer to the nucleus. What
    14·1 answer
  • Why do you need to understand safe procedures in the science classroom and laboratory?
    9·1 answer
  • What is the difference between being imaginative in doing science and doing psuedoscience?
    9·1 answer
  • Please help im testing and need an answer as soon as possible
    8·2 answers
Add answer
Login
Not registered? Fast signup
Signup
Login Signup
Ask question!