Answer:The speed if hailstone dependly largely on its size. A hailstone with a diameter of 0.39 inches,falls wit a speed of 20mph while a hailstone with 3.1 inches in diameter falls at a speed of 110mph.
No speed does not depend on the distance that the hailstone falls.
Explanation: There are other factors that affect the speed of the falling hailstone apart from its size.They are:
1. Friction between the air and the hailstone
2. Wind condition( windy or moist air)
3. The rate at which it melts falling.
I think it is 500 cm. Hope I helped!
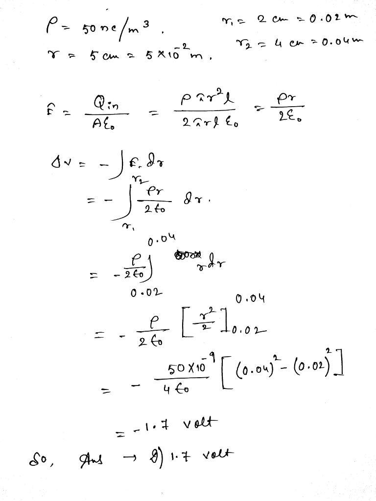
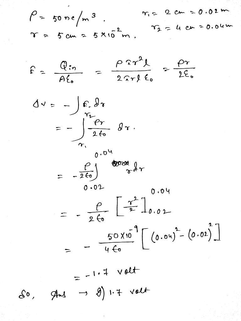
Answer:

and

Explanation:
Given:
- first charge,

- second charge,

- position of first charge,

- position of second charge,

Now since there are only 2 charges and of the same sign so they repel each other. This repulsion will be zero at some point on the line joining the charges.
<u>Now, according to the condition, electric field will be zero where the effects of field due to both the charges is equal.</u>

- since first charge is greater than the second charge so we may get a point to the right of the second charge and the distance between the two charges is 1 meter.





Since we have assumed that the we may get a point to the right of second charge so we calculate with respect to the origin.

and

The statement about pointwise convergence follows because C is a complete metric space. If fn → f uniformly on S, then |fn(z) − fm(z)| ≤ |fn(z) − f(z)| + |f(z) − fm(z)|, hence {fn} is uniformly Cauchy. Conversely, if {fn} is uniformly Cauchy, it is pointwise Cauchy and therefore converges pointwise to a limit function f. If |fn(z)−fm(z)| ≤ ε for all n,m ≥ N and all z ∈ S, let m → ∞ to show that |fn(z)−f(z)|≤εforn≥N andallz∈S. Thusfn →f uniformlyonS.
2. This is immediate from (2.2.7).
3. We have f′(x) = (2/x3)e−1/x2 for x ̸= 0, and f′(0) = limh→0(1/h)e−1/h2 = 0. Since f(n)(x) is of the form pn(1/x)e−1/x2 for x ̸= 0, where pn is a polynomial, an induction argument shows that f(n)(0) = 0 for all n. If g is analytic on D(0,r) and g = f on (−r,r), then by (2.2.16), g(z) =
No i took the test and the answer is actually homogenous mixture