Answer:
2(2x + 1)
Step-by-step explanation:
4x = 2 * 2x
2 = 2 * 1
3^(9/4)=3^(3*3/4)=(3^3)^(3/4)=27^(3/4)
27^(3/4)*x^(3/4)=(27x)^(3/4)
0.90 is the correct answer or B
Answer:
Part 1) 
Part 2) 
Step-by-step explanation:
Part 1) Find the measure of angle a
we know that
The formula to calculate the measure of the interior angle of a regular polygon is equal to

where
n is the number of sides of the regular polygon
For the regular pentagon in the figure
n=5
substitute in the formula



Part 2) Find the measure of angle b
Remember that a regular polygon has equal sides and equal interior angles
so
In the figure , the length of the side of the two smaller equilateral triangles is equal to the length of the side of the regular pentagon
therefore
The triangle in white of the figure is an isosceles triangle
The measure of the vertex angle of the isosceles triangle is equal to

Remember that
The sum of the interior angles of triangle must be equal to 180 degrees
so

solve for b



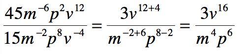
Answer:
Step-by-step explanation:
The question was copied incorrectly. You need to put parentheses around the denominator.
answer: b