1answer.
Ask question
Login Signup
Ask question
All categories
  • English
  • Mathematics
  • Social Studies
  • Business
  • History
  • Health
  • Geography
  • Biology
  • Physics
  • Chemistry
  • Computers and Technology
  • Arts
  • World Languages
  • Spanish
  • French
  • German
  • Advanced Placement (AP)
  • SAT
  • Medicine
  • Law
  • Engineering
natima [27]
3 years ago
13

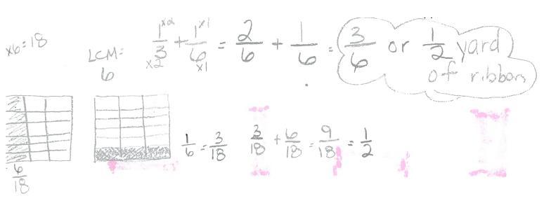
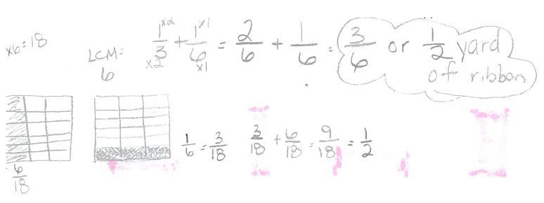
Jamal used 1/3 yard of ribbon to tie a package and 1/6 yard of ribbon to tie a bow. How many yards of ribbon did Jamal use?

Mathematics
2 answers:
Setler79 [48]3 years ago
7 0

Jamal use 1/2 yards of ribbon

<h3>Further explanation </h3>

Jamal used 1/3 yard of ribbon to tie a package and 1/6 yard of ribbon to tie a bow. How many yards of ribbon did Jamal use?

Jamal used 1/3 yard of ribbon to tie a package and 1/6 yard of ribbon to tie a bow. Therefore the total of ribbon Jamal used is:

\frac{1}{3} + \frac{1}{6} = \frac{2}{6} +\frac{1}{6}= \frac{3}{6} or \frac{1}{2} yards of ribbon

How many yards of ribbon did Jamal use? Jamal use 1/2 yards of ribbon

The yard (yd) is English unit of length comprises 3 feet or 36 inches. It is by international agreement standardized as exactly 0.9144 meters. Yard is defined as a measurement of length that equals 3 feet or 36 inches. An example of a yard is the length measurement that is used to sell fabric.

A ribbois a thin band of material, typically cloth but also plastic or sometimes metal, used as decorative binding and tying.

We also can draw 1/3 yard of ribbon as 33.333% of all yards, and 1/6 as 16.6666% of all yards as shown in the picture below.

<h3>Learn more</h3>
  1. Learn more about ribbon brainly.com/question/11685530
  2. Learn more about yard brainly.com/question/11263014
  3. Learn more   about package brainly.com/question/10210697

<h3>Answer details</h3>

Grade:  5

Subject:  math

Chapter:  yards

Keywords:   ribbon, yard, package, bow, tie

sp2606 [1]3 years ago
5 0
1/2 a yard of ribbon.
You might be interested in
Find the area of the kite with diagonals a= 12 and b=9
Gnoma [55]

maybe 108 is the answer.

4 0
3 years ago
Read 2 more answers
What is the value of x in the equation -6x = 5x+ 22?<br> -22<br> 0 -2<br> 02<br> O 22
Ivahew [28]

Answer:

x = -2

Step-by-step explanation:

Solve  -6x = 5x + 22

add 6x to both sides

0 = 6x + 5x + 22

0 = 11x + 22

11x = -22

x = -22/11

x = -2

3 0
3 years ago
Evaluate the expression a + b for a = 2 and b = 11
Lesechka [4]

If a+b= 2+11 then your sum will be 13.

heres an example...

If you have eleven dollars and I give you 2 more you can simply count up 2 more from 11 leaving you at 13.


you're welcome.

4 0
3 years ago
Two quantities, Pand Q, are connected by
frez [133]

Answer:

P = 0.5Q - 20

Step-by-step explanation:

P = kQ + c

substitute Q = 60 , P = 10 into the equation

10 = 60k + c → (1)

substitute Q = 240, P = 100 into the equation

100 = 240k + c → (2)

subtract (1) from (2) term by term to eliminate c

90 = 180k ( divide both sides by 180 )

\frac{90}{180} = \frac{1}{2} = 0.5 = k

substitute k = 0.5 into (1) and solve for c

10 = 60(0.5) + c

10 = 30 + c ( subtract 30 from both sides )

- 20 = c

then

P = 0.5Q - 20

8 0
2 years ago
Solve the right triangle. Round decimals to the nearest tenth
LekaFEV [45]

Answer: 42

Step-by-step explanation:

angle t is 42 degrees

5 0
2 years ago
Other questions:
  • The cost of printing a store flyer is $450 for 1000 copies and $880 for 2000 copies.
    15·1 answer
  • When the vat rate is 15% a customer pays 1610 to buy an electric iron .find the cost of the iron without vat (solve by video)
    5·1 answer
  • Maria, Ahmad, and Bob sent a total of 52 text messages during the weekend. Maria sent fewer messages than Bob. Ahmad sent times
    9·1 answer
  • Drag each angle measure to the correct location. Each angle measure can be used more than once.
    12·1 answer
  • Which of the following is an EXPLICIT formula for the sequence 12, 15, 18, 2 points
    12·1 answer
  • A bathtub holds 132 gallons of water. Water is draining from the tub at a rate of 6 gallons every minute. How long will it take
    9·2 answers
  • Can someone please help me with geometry. Honestly I need help. Let me know please! :)
    13·1 answer
  • PLEASE HELP I WILL MARK BRAINLIEST
    12·2 answers
  • PLSSSSS ANSWERR I NEED ANSWER FAST!!!!!!!!!!
    9·1 answer
  • 7/2 inches by 3/2 inches?
    13·1 answer
Add answer
Login
Not registered? Fast signup
Signup
Login Signup
Ask question!