I need to know how to solve this problem, you don't necessarily have to answer it, i just don't know the name and the steps to s
olving it because I missed out on a class that explained it, so I'm in the dark
1 answer:
Answer:
f(-3) = -16
Step-by-step explanation:
Given piecewise function is,
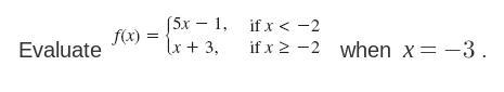
f(x) = 5x - 1 If x < -2
x + 3 If x ≥ -2
We have to find the value of he function when x = -3
Since x = -3 is less than x = -2,
Piece of the function to be considered,
f(x) = 5x - 1
f(-3) = 5(-3) - 1
f(-3) = -16
You might be interested in
Answer:
1/7
Step-by-step explanation:
You have to multiply across the top then the bottom.
Answer:
15q
Step-by-step explanation:
Answer:
- 1625
Step-by-step explanation:
420 times 4 = 1680
1624 - 1680 = -56
-56 - 600 - 1000 = -1625
BRAINLIEST PLEASE
Answer:
-20.1
Step-by-step explanation:
-12.6-7.5
-20.1
Answer:

Step-by-step explanation:
multiply the two fractions ie
