1answer.
Ask question
Login Signup
Ask question
All categories
  • English
  • Mathematics
  • Social Studies
  • Business
  • History
  • Health
  • Geography
  • Biology
  • Physics
  • Chemistry
  • Computers and Technology
  • Arts
  • World Languages
  • Spanish
  • French
  • German
  • Advanced Placement (AP)
  • SAT
  • Medicine
  • Law
  • Engineering
Arturiano [62]
3 years ago
14

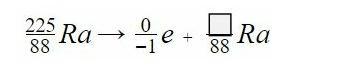
HELP NO LINKS!! The number in the box is _____ and this is a form of ______ decay.

Chemistry
1 answer:
gogolik [260]3 years ago
5 0

Answer:

Hope this helps:)

Explanation:

Your exercise:     Step by step:

 

1*225/88*r*a=1*(0/-1)*e+1*(__/88)*r*a  | If the numerator equals zero, the fraction will be zero

1*225/88*a*r=1*0*e+1*(__/88)*r*a  | Multiply 0 by e. Any number multiplied by 0 is 0.

1*225/88*a*r=0+1*__/88*r*a  | Multiply __/88 by a. You can multiply a fraction by a number by multiplying the number and the numerator.

1*225/88*a*r=0+1*__*a*a*r  | Multiply (__*a)/88 by r. You can multiply a fraction by a number by multiplying the number and the numerator.

1*225/88*a*r=0+1*(__*a*r)/88  | · 88

1*225*a*r=88*(__*a*r)/88  | Multiply 88 by (__*a*r)/88. You can multiply a fraction by a number by multiplying the number and the numerator.

225*a*r=88*(__*a*r)/88  | Cancel (__*88*a*r)/88 with 11*2^3

225*a*r=(__*a*r)/1  | Numerator 1 of (__*a*r)/1 can be omitted .

225*a*r=1*__*a*r  | : 225

1*a*r=1*__*0.004*a*r  | Divide both sides by a .

1*r=1*(__*0.004*a*r)/a  

You might be interested in
When a food label reads low-calorie, the product contains _______ calories or less per serving.
dusya [7]

When a food label reads low-calorie, the product contains  40 calories or less per serving.

A calorie is a unit of energy. For historical reasons, two main definitions of "calorie" are widely used. A staple calorie, food calorie, or kilogram calorie was originally defined as the amount of heat required to raise the temperature of one kilogram of water by one degree Celsius. Wikipedia

The amount of energy in food and drink is expressed in calories. When we eat or drink more calories than we consume, our bodies store the excess as body fat. If this continues, it can lead to weight gain over time.

Learn more about calories here

brainly.com/question/1178789

#SPJ4

4 0
2 years ago
What will happen if 2.3 L of nitrogen gas is added to a 5 L flask that contains a mixture of carbon monoxide, oxygen, and carbon
stiks02 [169]

Answer:

The equilibrium will remain at the same conditions because there is no effect and difference in the partial pressure which in turn affect the equilibrium state.

Explanation:

  1. As Nitrogen is an inert gas therefore it will not react with either the reactants or products.
  2. Also as the addition is being made by maintaining the volume of flask as constant, thus there will be no difference in the partial pressure of the individual components of the mixture by addition of the Nitrogen gas.
  3. An increase in pressure is observed but the effect is not aiding or retreating the equilibrium conditions
6 0
3 years ago
How many miles are in 62 grams of copper (ll) nitrate
grandymaker [24]
Did you mean moles? Instead of miles

If so it’s 0. 330568289543697
8 0
4 years ago
Go'=30.5 kJ/mol
makvit [3.9K]

Answer:

a) Keq = 4.5x10^-6

b) [oxaloacetate] = 9x10^-9 M

c) 23 oxaloacetate molecules

Explanation:

a) In the standard state we have to:

ΔGo = -R*T*ln(Keq) (eq.1)

ΔGo = 30.5 kJ/moles = 30500 J/moles

R = 8.314 J*K^-1*moles^-1

Clearing Keq:

Keq = e^(ΔGo/-R*T) = e^(30500/(-8.314*298)) = 4.5x10^-6

b) Keq = ([oxaloacetate]*[NADH])/([L-malate]*[NAD+])

4.5x10^-6 = ([oxaloacetate]/(0.20*10)

Clearing [oxaloacetate]:

[oxaloacetate] = 9x10^-9 M

c) the radius of the mitochondria is equal to:

r = 10^-5 dm

The volume of the mitochondria is:

V = (4/3)*pi*r^3 = (4/3)*pi*(10^-15)^3 = 4.18x10^-42 L

1 L of mitochondria contains 9x10^-9 M of oxaloacetate

Thus, 4.18x10^-42 L of mitochondria contains:

molecules of oxaloacetate = 4.18x10^-42 * 9x10^-9 * 6.023x10^23 = 2.27x10^-26 = 23 oxaloacetate molecules

3 0
4 years ago
Twenty molecules of tetrasulfur tetranitrogen contain how many atoms of sulfur?
viva [34]
The correct answer is 80 atoms of sulfur.

In order to answer this question we must firstly find the molecular formula of tetrasulfur tetranitrogen. The said molecule has the molecular formula of S4N4.
Therefore, each molecule of S4N4 contains four atoms of sulfur (S).
If one molecule of S4N4 contains 4 sulfur atoms, then twenty molecules contain 
20 x 4= 80 atoms of sulfur.

7 0
3 years ago
Other questions:
  • What are the letters on the periodic table called
    12·2 answers
  • Which of the following statements is TRUE? Question 5 options: The emission spectrum of a particular element is always the same
    8·1 answer
  • Which method would be best to separate a mixture of oil and vinegar?
    8·1 answer
  • For the following reaction, label each of the below species as an acid or a base. Use lower case letters only (e.g. acid)
    11·1 answer
  • How many moles are there in 0.67 L of a 0.50 M KBr solution?
    5·1 answer
  • Standard reduction potentials for nickel(II) and copper(II) The standard reduction potential for a substance indicates how readi
    15·1 answer
  • If a 600kg cart starts at point A, what is its potential energy? PE=mgh g=9.8 A. 823200J B. 558600J C. 470400J D. 8232J
    7·1 answer
  • How much of a 24-gram sample of Radium-226 will remain unchanged at the end of three half-life periods?
    6·1 answer
  • 1. what is an ethical concern about biotechnology
    14·1 answer
  • A lichen is when a fungus and an
    5·2 answers
Add answer
Login
Not registered? Fast signup
Signup
Login Signup
Ask question!