1answer.
Ask question
Login Signup
Ask question
All categories
  • English
  • Mathematics
  • Social Studies
  • Business
  • History
  • Health
  • Geography
  • Biology
  • Physics
  • Chemistry
  • Computers and Technology
  • Arts
  • World Languages
  • Spanish
  • French
  • German
  • Advanced Placement (AP)
  • SAT
  • Medicine
  • Law
  • Engineering
lesya692 [45]
2 years ago
12

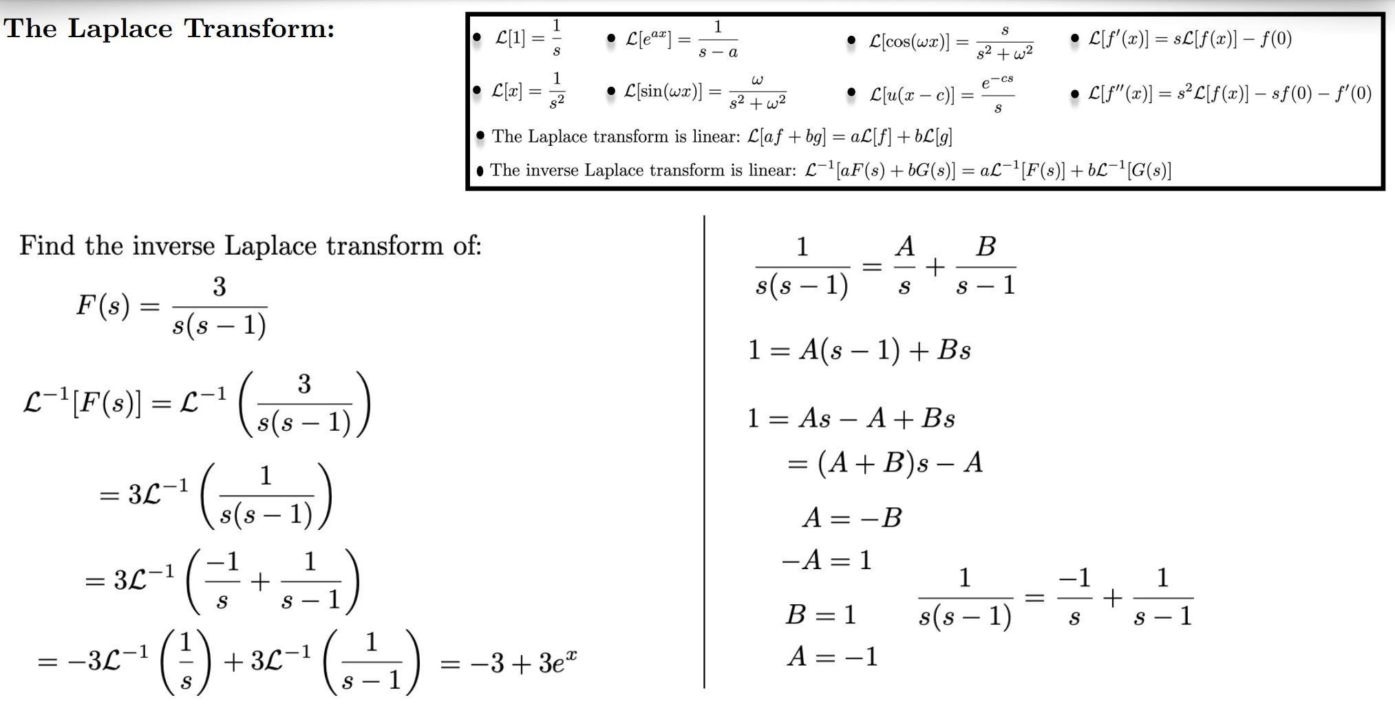
Problem 0: Compute the inverse Laplace Transforms of:

Mathematics
1 answer:
kondaur [170]2 years ago
5 0

Decompose each given F(s) into partial fractions.

F(s) = \dfrac{s+1}{s(s-1)(s-3)}

has partial fraction decomposition

\dfrac{s+1}{s(s-1)(s-3)} = \dfrac as + \dfrac b{s-1} + \dfrac c{s-3}

Combine the rational terms on the right and solve for the coefficients:

\dfrac{s+1}{s(s-1)(s-3)} = \dfrac{a(s-1)(s-3) + b s(s-3) + c s(s-1)}{s (s-1) (s-3)}

1 = a(s-1)(s-3) + bs(s-3) + c s(s-1)

1 = 3 a + (-4 a - 3 b - c) s + (a + b + c) s^2

\begin{cases}3a=1 \\ -4a-3b-c = 0 \\ a+b+c=0 \end{cases} \implies a=\dfrac13, b=-\dfrac12, c=\dfrac16

Then

F(s) = \dfrac13 \times \dfrac1s - \dfrac12 \times \dfrac1{s-1} + \dfrac16 \times \dfrac1{s-3}

Using the frequency-shifting property, the inverse transform is

\boxed{f(t) = \dfrac13 - \dfrac{e^t}2 + \dfrac{e^{3t}}6}

The other transform can be dealt with in the same manner.

F(s) = \dfrac1{(s-1)(s-2)(s-3)} = \dfrac a{s-1} + \dfrac b{s-2} + \dfrac c{s-3}

\implies 1 = a(s-2)(s-3) + b(s-1)(s-3) + c(s-1)(s-2)

\implies 1 = 6 a + 3 b + 2 c + (-5 a - 4 b - 3 c) s + (a + b + c) s^2

\implies \begin{cases}6 a + 3 b + 2 c=1 \\ -5a-4b-3c = 0 \\ a+b+c=0\end{cases} \implies a=\dfrac12, b=-1, c=\dfrac12

\implies F(s) = \dfrac12 \times \dfrac1{s-1} - \dfrac1{s-2} + \dfrac12 \times \dfrac1{s-3}

\implies \boxed{f(t) = \dfrac{e^t}2 - e^{2t} + \dfrac{e^{3t}}2}

You might be interested in
Ricole wrote a number that is the same distance from 0 to 15 on a number line but in a opposite direction . What number did rico
pshichka [43]

Answer:

1 2 3 4 5 6 7 8 9 10 11 12 12 14 15!

5 0
3 years ago
Sophia 4/8 yards of string. She used 1/6 of the string for a school project how many yards of string did she use for her project
MariettaO [177]
We will start off by simplifying 4/8 to 1/2

then we will multiply the fractions because it says "of"

1/2 × 1/6=1/12

therefore the answer is C. 1/12
7 0
3 years ago
Read 2 more answers
ANWSER these three questions show ur work, if u can is somewhat optional
Airida [17]

Answer:

1. 35            2. 565.5         3. 12.28

Step-by-step explanation:

1. Triangle 1 & 2: 7x3=21    

You do not have to divide by 2 is since there are two triangles.

 Semi-circle: 14.13

2. Trinagle: 29x19/2 = 275.5

Rectangle: 29x10 = 290

3. Triangle: 3x4/2 = 6

Semi-circle: 3.14x4/2 = 6.28

<em>Took a long time- Please give Brainliest and points!</em>

7 0
3 years ago
Given a vector with the initial point, (4,2) and the terminal point, (-3,1), find the vector in component form.
ioda

\bf (-3,1),(4,2)\implies \implies \implies

7 0
4 years ago
Please help!<br> Will give brainliest
zhuklara [117]

Answer:

16 nickels

Step-by-step explanation:

I just divided 32 by 2 I don't know if its completely right though

5 0
3 years ago
Other questions:
  • For the polynomial 8x3y2 – x?y2 + 3xy2 – 4y3 to be fully simplified and written in standard form, the missing exponent on the
    10·2 answers
  • A circle has a sector with area \dfrac{64}{5}\pi 5 64 ​ πstart fraction, 64, divided by, 5, end fraction, pi and central angle o
    5·1 answer
  • Which of the following defines liquid measure?
    7·2 answers
  • What is 140 divided by 18 ??? someone please help
    11·2 answers
  • 1
    14·2 answers
  • Can any kind soul help me​
    6·2 answers
  • Can someone please help me you have to explain your answer plzzz help<br> ?!?!?!?!?!
    6·1 answer
  • A study will be conducted to investigate whether there is a difference in pain relief for two brands of headache pills, N and P.
    12·1 answer
  • As an estimation we are told 5 miles is 8 km. Convert 10 miles to km.
    7·1 answer
  • If f(x) = x4 − x3 + x2 and g(x) = −x2, where x ≠ 0, what is (f ⁄g)(x)?
    11·1 answer
Add answer
Login
Not registered? Fast signup
Signup
Login Signup
Ask question!