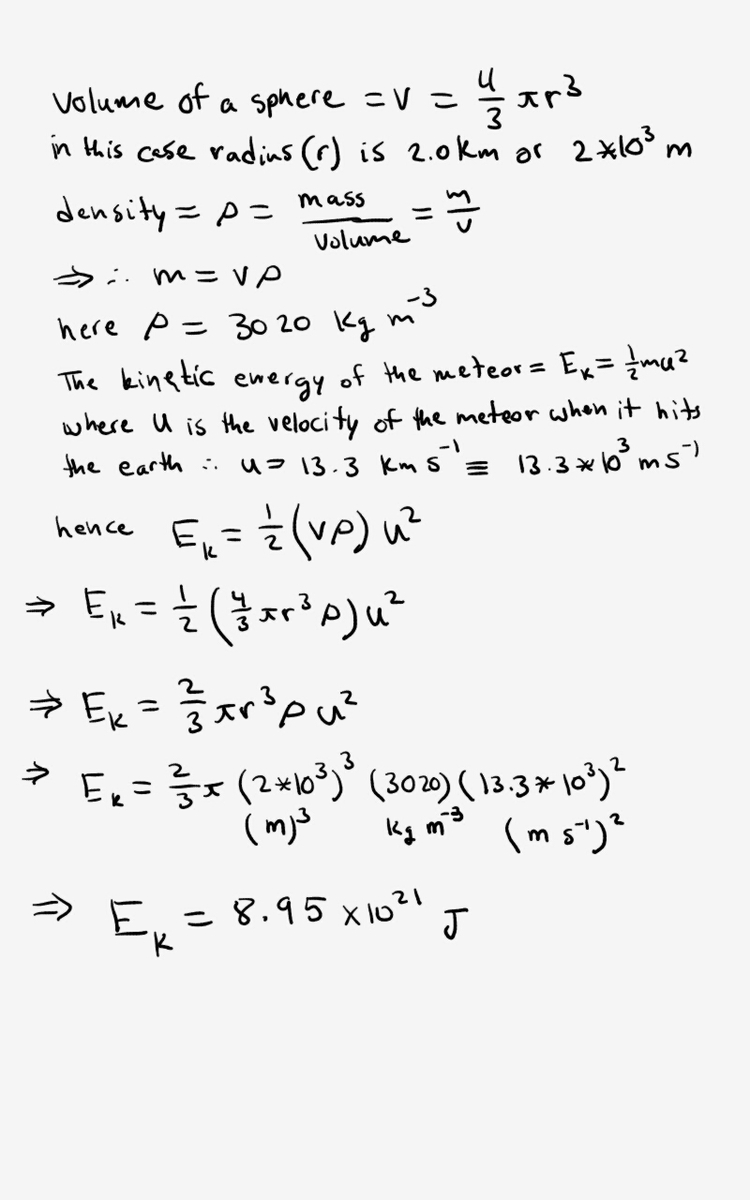
Answer:
force between both the balloons is
Explanation:
It is given charge on both balloons are same and equal to 
Separation between both the balloons 
According to Coulomb's law force between two charges is given by

Therefore force is equal to


So force between both the balloons is
The broth has a higher density than the fat.
Answer:
a round shape. It has its own gravity to pull itself into a round shape
Answer:
B. An isothermal compression of an ideal gas.
Explanation:
The internal energy of an ideal gas is just function of the temperature; it does not matter what other thermodynamic property changes, if the temperature does not change, the internal energy neither does. That is just for ideal gases; real gases behaviour is not like that. All of the other options bring with them an increase or decrease of the temperature:
For A, the temperature will decrease because the gas will do work as it expands, converting part of his internal energy to work.
For C, the temperature will increase, because given
, if the volume increases (expansion) and the pressure is constant, the temperature must increase to satisfy the equation.
Answer:
The angular separation between the red and violet components of the spectrum that emerges from the glass is 1.72°
Explanation:
Given:
Refractive index for red light 
Refractive index for violet 
Refractive index for air 
Incident angle
28.30°
According to the snell's law,

For red light,

Where
transmitted angle for red light
50.18°
For violet light,

Where
transmitted angle for violet light
51.9°
Angular separation between red and violet light is given by,
1.72°
Therefore, the angular separation between the red and violet components of the spectrum that emerges from the glass is 1.72°