1answer.
Ask question
Login Signup
Ask question
All categories
  • English
  • Mathematics
  • Social Studies
  • Business
  • History
  • Health
  • Geography
  • Biology
  • Physics
  • Chemistry
  • Computers and Technology
  • Arts
  • World Languages
  • Spanish
  • French
  • German
  • Advanced Placement (AP)
  • SAT
  • Medicine
  • Law
  • Engineering
AnnZ [28]
3 years ago
14

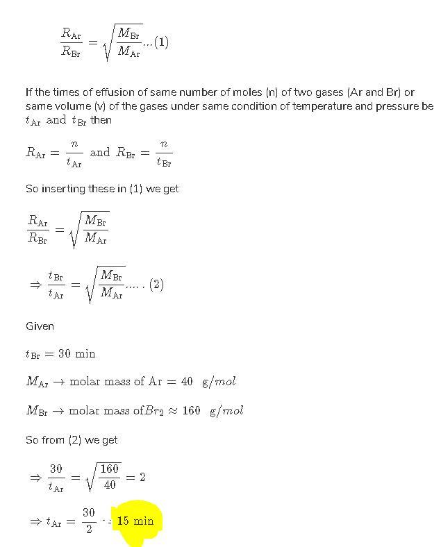
A sample of Br 2 ( g ) Br2(g) takes 42.0 min 42.0 min to effuse through a membrane. How long would it take the same number of mo

les of Ar ( g ) Ar(g) to effuse through the same membrane?

Chemistry
1 answer:
Simora [160]3 years ago
6 0

15 mins

~Savannah

Jokes from Savannah~

A man goes to the doctor, concerned about his wife’s hearing. The doctor says, “Stand behind her and say something and tell me how close you are when she hears you.”

The man goes home, sees his wife in the kitchen, cutting carrots on the countertop. About 15 feet away he says, “Honey, what’s for dinner?” Nothing. He gets halfway to her and repeats the same question. Nothing. Very concerned, he gets right behind her and asks again “What’s for dinner?”

She turns around and says “For the THIRD time, beef stew!”

~~~~~~~~~~~~~~~~~~~~~~~~~~~~~~~~~~~~~~~~~~~~~~~~~~~~~~~~~~

Q: What do you get when you cross a vampire with a snowman?

A: Frostbite!

You might be interested in
BRAINLIEST FOR THE FIRST CORRECT ANSWER!! im revising for a test and my teacher gave me some questions to do but i dont understa
il63 [147K]

Answer:

tensile strength, elongation, flexural strength, and impact resistance.

Explanation:

3 0
2 years ago
What are the formulas?
shtirl [24]
Formulas are like steps to solve an equation but in cemistry a formula is 2 or more elements combined to make something

7 0
4 years ago
Read 2 more answers
What is the area under the curve for the histogram below?
kodGreya [7K]

Answer:

Explanation:

There is no histogram

3 0
3 years ago
Read 2 more answers
An ingredient that dissolves in a solution is called a
Marta_Voda [28]
Try solvent. I hope this helps!!!
3 0
4 years ago
According to the big bang theory, which statement is accurate about how the universe came to be?
DIA [1.3K]

Answer:

The term Big Bang defines that the Universe has expanded from the ancient hot and thick primary situation at some fixed time in the past.

Big Bang theory refers to the origin of the Universe. In the beginning, universe is very heavy and small hot ball of matter. It was a point no bigger than the head of a pin when all the things squished with each other and universe is expanded with huge explosion of energy. Due to expansion, it is cooled and results in the formation of Stars and galaxies. After sometime, atoms formed like helium and hydrogen.

Thus, statement (1), (3) and (4) is correct whereas statement (2) and (5) is incorrect. the right answer is - (It expanded slowly), (Stars and galaxies formed,) (Atoms such as hydrogen and helium formed.)

Explanation:

8 0
3 years ago
Read 2 more answers
Other questions:
  • It's easiest to weigh------using a balance scale?
    11·1 answer
  • Draw a resonance structure, complete with all formal charges and lone (unshared) electron pairs, that shows the resonance intera
    6·1 answer
  • Which of the metals listed in the original list are less reactive than h2?
    15·1 answer
  • 2. Which of the following pairs of reactants will occur most quickly?
    9·1 answer
  • Which of the following best describes the physical nature of the Earth's lithosphere and the asthenosphere?
    6·1 answer
  • Louis Pasteur developed the germ theory of disease, which states that many diseases are caused by microorganisms. Had scientists
    7·2 answers
  • Which of these is the smallest?<br> atom<br> molecule<br> proton<br> an ant
    5·1 answer
  • Each sentence describes potential and kinetic energy at various locations on a slide. Complete each statement by selecting the p
    7·2 answers
  • What happens when a cold drink sits in a hot room?.
    9·1 answer
  • Positive ions usually form from ____
    12·1 answer
Add answer
Login
Not registered? Fast signup
Signup
Login Signup
Ask question!