Complete Question
The complete question is shown on the first uploaded image.
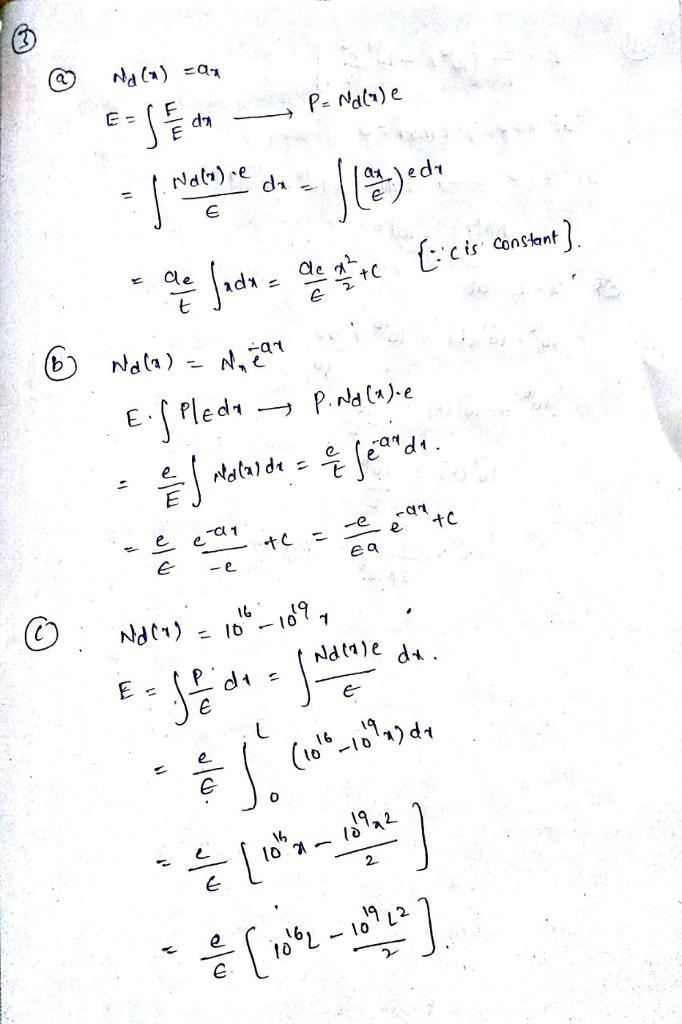
Answer:
The answer is shown on the second uploaded image
Explanation:
The explanation is also shown on the second uploaded image
The maximum shear stress in the tube when the power is transmitted through a 4: 1 gearing is 28.98 MPa.
<h3>What is power?</h3>
Power is the energy transferred per unit time.
Torque is find out by
P = 2πNT/60
10000 = 2π x 2000 x T / 60
T =47.74 N.m
The gear ratio Ne / Ns =4/1
Ns =2000/4 = 500
Ts =Ps x 60/(2π x 500)
Ts =190.96 N.m
Maximum shear stress τ = 16/π x (T / (d₀⁴ - d₁⁴))
τ max =T/J x D/2
where d₁ = 30mm = 0.03 m
d₀ = 30 +(2x 4) = 38mm =0.038 m
Substitute the values into the equation, we get
τ max = 16 x 190.96 x 0.038 /π x (0.038⁴ - 0.03⁴)
τ max = 28.98 MPa.
Thus, the maximum shear stress in the tube is 28.98 MPa.
Learn more about power.
brainly.com/question/13385520
#SPJ1
Answer:
8861.75 m approximately 8862 m
Explanation:
We need to remember Newton's 2nd Law which says that the force experienced by an object is proportional to his acceleration and that the constant of proportionality between those two vectors correspond to the mass of the object.
for the weight of an object (which is a force) we have that the acceleration experienced by that object is equal to the gravitational acceleration, obtaining that 
For simplicity we work with
despiting the effect of the height above sea level. In this problem, we've been asked by the height above sea level that makes the weight of an object 0.30% more lighter.
In accord with the formula
the "normal" or "standard" weight of an object is given by
when
, so we need to find the value of
that makes
meaning that the original weight decrease by a 0.30%, so now we operate...
now we group like terms on the same sides
we cancel equal tems on both sides and obtain that 
Answer:
ares
Explanation:
He refer ares as the God that he hate the most