Answer

Step-by-step explanation:
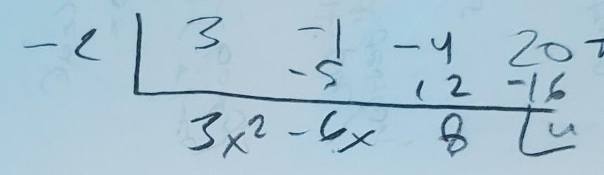
use synthetic division-
1. but all the coefficients in a box
2. put the divisor term equal to 0 so... x+2=0 ,x would have to equal negative 2 x= -2
3. drop the first coefficient
4. multiply the number outside the box by the number you just dropped and put it under the second coefficient. then subtract
5. keep repeating steps four
6. once youre done the last term below the box is your remainder and should be written as +remainder over divisor which in this case is x-2
7. everything is backwards soo the 8 would be your constant, the -6 is your x and 3 is your x^2 term.
also PLS mark brainliest :) <33