To find the surface area, you need to do the following:
A side of the figure is a trapezoid, so you should do 13+5x7 (since there are 2 of the same sides there is no need to divide by two.) and it should equal 126. To find the area of the top of the figure, you need to do 5x2 which equals 10. The area of the bottom of the figure is 26 (13x2), then do 2x3x2 to get the sides on the left and right of the figure. After all of this, add them together. (126+10+26+12=174.)
The surface area should be 174mm.
Answer:
A. 
Step-by-step explanation:
We are given the functions f(x) and g(x) as,


It is required to find the function ( f+g ) i.e. ( f+g ) (x)
So, 
i.e. 
Hence, we get that
.
So, the first option is correct.
Answer:
She would be paying $2,622 total.
Step-by-step explanation:
1. To get how much she'd be paying for 24 months, all you have to do is multiply 24 times 95.
2. To get the down payment you had to ask yourself what's 15% of 2,280. 15% of 2280 is 342.
3. Add those together and you'd get the total payment.
Simple.
Oh and gimme Brainliest if it's correct.
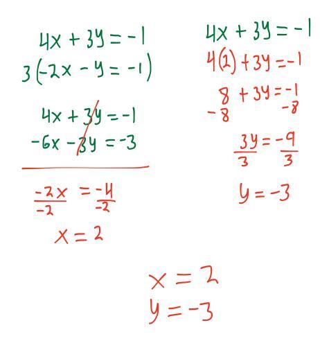
Answer:
Step-by-step explanation:
Solve the compound inequality. 6 – x > 15 or 2x – 9 ≥ 3 A. x > 9 or x ≤ 6 B. x < 9 or x ≥ –6 C. x > –9 or x ≤ –6 D. x < –9 or x ≥ 6
9514 1404 393
Answer:
y' = -sin(x)
Step-by-step explanation:
Your table of derivatives of trig functions tells you the derivative of the cosine is the opposite of the sine.
dy/dx = -sin(x)