Answer:
Answer: 882mmHg
Explanation:
In a closed-end manometer, the gas added is under a pressure that is measured against atmospheric pressure. The difference in pressure between both gases is equal to the difference in mercury levels. Thus, the pressure of the argon can be:
783 mmHg - 96.0mmHg = 687mmHg
783 mmHg - 96.0mmHg = 879mmHg
Based on the options, the possible answer (The nearest to the second value) is:
<h3>Answer: 882mmHg</h3>
Answer:
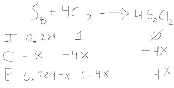
ICE Table Figure
a. 67.37 g 
b. 35.62 g 
c. 58.61 g
Explanation:
For the <u>ICE table </u>we have to keep in mind that we have 4 moles of
and 1 mol of
and the reactives are consumed, so for
we will have -4X and for
we will have -X. Follow the same logic we will have -4X for
.
a. <u>Mass of the product</u>
Molar mass of
= 256.52 g/mol
Molar mass of
=70.9 g/mol
Molar mass of
=135.03 g/mol
We have to find the limiting reagent in the reaction:



Divide by the coefficients in the balanced reaction:


The limiting reagent would be 
Now is posible to calculate the amount of
produced:

b. <u>Mass in excess</u>


C. <u>87%Yield</u>

Answer:
The number of moles of salt in one tablespoon is = <u>0.11 mole</u>
<u>Grams </u>cancel each other.
Explanation:
<u>Moles</u> : It is the unit of quantity . It is the mass of the substance present in exactly 12g of C-12.

<u>Moles Calculation:</u>
Given mass = 6.37 gram
Molar mass = 58.5 g/mol

= 0.1088
= 0.11 mole
<u>Units calculation</u>



<u>g ang g cancels each other </u>
moles = moles
<u>Hence unit = gram (g ) cancel each other.</u>
In S or shear waves, rock oscillates perpendicular to the direction of wave propagation.