1answer.
Ask question
Login Signup
Ask question
All categories
  • English
  • Mathematics
  • Social Studies
  • Business
  • History
  • Health
  • Geography
  • Biology
  • Physics
  • Chemistry
  • Computers and Technology
  • Arts
  • World Languages
  • Spanish
  • French
  • German
  • Advanced Placement (AP)
  • SAT
  • Medicine
  • Law
  • Engineering
S_A_V [24]
3 years ago
8

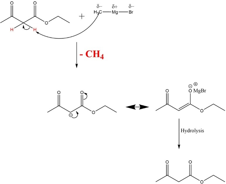
When ethyl acetoacetate (ch3coch2co2ch2ch3) is treated with one equivalent of ch3mgbr, a gas is evolved from the reaction mixtur

e, and after adding aqueous acid, ethyl acetoacetate is recovered in high yield. identify the gas formed and explain why the starting material was recovered in this reaction. be sure to answer all parts. the gas formed is: o2 h2 ch4 co2 this occurs because: addition of a methyl group through nucleophilic addition destabilizes the ester group. because of the acidic proton, ch3mgbr reacts as a base and proton transfer occurs rather than nucleophilic addition. aqueous acid adds an oxygen to the carbanion formed releasing h2 gas. addition of aqueous acid disrupts the anhydride bond which reforms after decarboxylation?

Chemistry
1 answer:
Advocard [28]3 years ago
4 0
The protons of methylene group between the two carbonyl groups in ethylacetoacetate are acidic in nature. When compounds containing such acidic protons are treated with bases the loose proton and form enolates.
In this particular example when ethylacetoacetate is reacted with methyl magnesium bromide, the methyl group abstracts the acidic proton and converts into methane gas. The enolate when hydrolyzed is again converted into ethylacetoacetate as shown below,

You might be interested in
Josefina and Raul were comparing how sound moves through various mediums and how charge moves through conducting wires. They per
Fed [463]

They found that difference occurs in the speed of both sound and charges occur due to the difference in the type of medium.

Sound and charges needs specific medium for faster movement i.e. sound moves faster in solid as compared to liquid and gas whereas charges moves faster and easily in gold due to lower resistance which is followed by copper. Sound can move from solid, liquid and gases whereas charges move only in solid metal in which free electrons are present. The speed of sound and flow of current are affected due to difference in the arrangement of atoms in solid, liquid and gas.

brainly.com/question/24373020

8 0
3 years ago
Which behavior did dr. Hernandez display
natulia [17]
Was there suppose to be a picture included?
5 0
3 years ago
In the water molecule, the H-O-H bond angle is 105º. Which distribution of electrons around the central atom provides the best e
masha68 [24]

Answer:

The correct option is: 2 shared pairs, 2 lone pairs

Explanation:

Water is an inorganic molecule that is composed of one central oxygen atom and two hydrogen atoms bonded by covalent bonds. The molecular formula of water is H₂O and the bond angle is 109.47°.

The <em>oxygen is sp³ hybridized</em> and there are<em> two bond (or shared) pairs and two lone pairs </em>of electrons in a water molecule. The<em> structure of H₂O is bent </em>due to the <u>repulsive forces between the lone pairs of electrons</u>.

<em>Due to these repulsive forces, the H-O-H bond angle decreases from 109.47°, which is the ideal bond angle to 104.45°.</em>

6 0
4 years ago
A substance that loses electron and itself is oxidized is called a?​
Verdich [7]

Answer:

oxidation-reduction or redox reaction

Explanation:

n

8 0
3 years ago
Read 2 more answers
State two essential conditions for rusting of iron. List two methods of protecting iron from rusting?​
gizmo_the_mogwai [7]
Conditions for rusting
• moisture
•oxygen

Prevention
•Painting
• Galvanisation
• Making Alloys
• greasing
Hope this helps you ;)(:

8 0
3 years ago
Other questions:
  • 76/304=81/k what is K and show work plez
    8·1 answer
  • As gaseous material condensed in the solar nebula, ice formed
    12·1 answer
  • On a warm summer day in Oslo, the temperature is 21 degree C and the relative humidity is 70%. What is the absolute humidity? Wh
    14·1 answer
  • What is the h concentration in a solution with a ph of 1.25
    6·2 answers
  • The force between two atoms is the result of _____________________ repulsion, nucleus-nucleus ________________, and nucleus-elec
    6·1 answer
  • Calcium oxide (CaO), an important ingredient in cement, is produced by decomposing calcium carbonate (CaCO3) at high temperature
    9·1 answer
  • Which two chemical equations model double-replacement reactions?
    8·2 answers
  • Suppose there was a release of 1 mole of Alpha emission particle and 1 mole of Beta emission particles and both particles are ac
    15·1 answer
  • Sphalerite contains about 30% zinc. Calculate the maximum amount of zinc that could be obtained from 1000kg sphalerite.
    9·1 answer
  • 1234567<br>kkkkkkkkkkkkkk
    10·1 answer
Add answer
Login
Not registered? Fast signup
Signup
Login Signup
Ask question!