1answer.
Ask question
Login Signup
Ask question
All categories
  • English
  • Mathematics
  • Social Studies
  • Business
  • History
  • Health
  • Geography
  • Biology
  • Physics
  • Chemistry
  • Computers and Technology
  • Arts
  • World Languages
  • Spanish
  • French
  • German
  • Advanced Placement (AP)
  • SAT
  • Medicine
  • Law
  • Engineering
Thepotemich [5.8K]
3 years ago
8

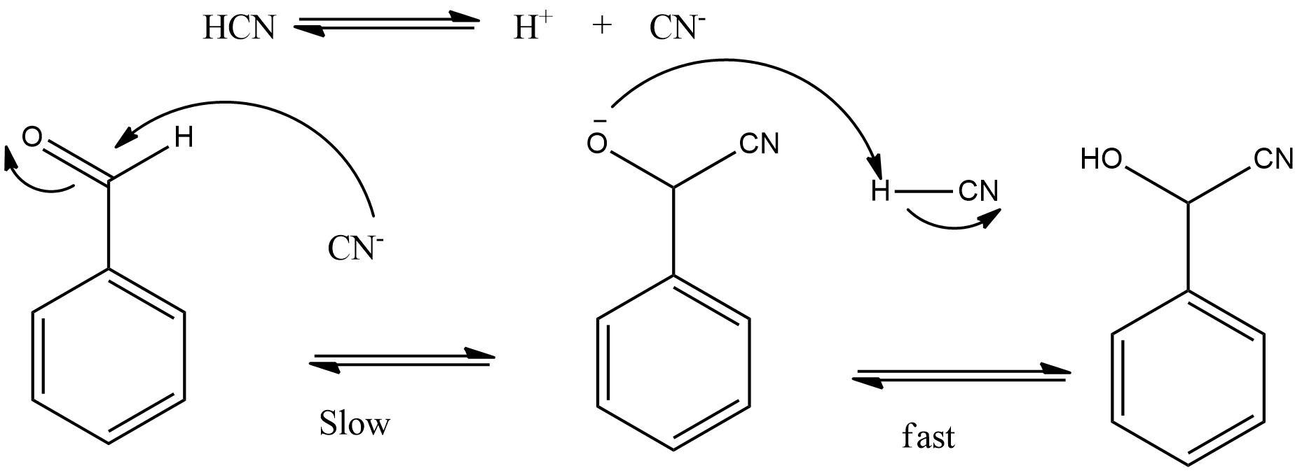
Q 2.1 Benz aldehyde and hydrogen cyanide fail to react at pH=5.6 and slowly at pH=7. However, the reaction occurs spontaneously

at pH>7. Discuss these observations with the aid of a detailed mechanism. (6)

Chemistry
1 answer:
Irina18 [472]3 years ago
6 0

Answer:

Explanation has been given below

Explanation:

  • Rate law = k[benzaldehyde][CN^{-}],  where k is rate constant and species inside third bracket represents concentrations.
  • Clearly, rate depends upon concentration of free CN^{-}
  • In acidic medium (pH = 5.6), concentration of free CN^{-} is negligible as HCN is a weak acid. So, reaction between benzaldehyde and HCN does not occur at all.
  • In neutral medium (pH = 7), concentration of cyanide ion somewhat increases. Therefore reaction is slow in neutral pH
  • In basic medium (pH > 7), concentration of cyanide ions become sufficient to make the reaction spontaneous. In basic condition, concentration of cyanide increases due to increase in ionization of HCN
  • Full reaction mechanism has been shown below.

You might be interested in
Static, sliding and rolling are types of friction. Please select the best answer from the choices provided
GarryVolchara [31]
The answer is true ^-^

6 0
3 years ago
If an atom can form more than one cation, the cation with the lowest charge ends with which set of letters?
Verdich [7]

Answer:

Answer is A 

Explanation:

Now we know that an atom wants to complete its outer shell while keeping electrons in pairs of two now in A there are four electrons which which can be ejected while in B will want to accept 3 electrons to complete its shell as ejecting five will take lot of energy similar case will be for C,D and E which would want to accept 2,1,0 electrons respectively

3 0
3 years ago
Read 2 more answers
Dehydration of 2-methyl-2-pentanol forms one major and one minor organic product. Draw the structures of the two organic product
Korvikt [17]

Answer:

The major product is 2-methyl-2-pentene [ CH₃-CH₂-CH=C(CH₃)₂ ] and a minor product 2-methyl-1-pentene [ CH₃-CH₂-CH₂-C(CH₃)=CH₂ ].

Explanation:

Dehydration reaction is a reaction in which a molecule loses a water molecule in the presence of a dehydrating agent like sulfuric acid (H₂SO₄).

<u>Dehydration reaction of 2-methyl-2-pentanol</u> gives a major product 2-methyl-2-pentene and a minor product 2-methyl-1-pentene.

CH₃-CH₂-CH₂-C(CH₃)₂-OH (2-methyl-2-pentanol)→ CH₃-CH₂-CH=C(CH₃)₂ (2-methyl-2-pentene, major) + CH₃-CH₂-CH₂-C(CH₃)=CH₂ (2-methyl-1-pentene, minor)

<u>Since more substituted alkene is more stable than the less substituted alkene. So, the trisubstituted alkene, 2-methyl-2-pentene is more stable than the disubstituted alkene, 2-methyl-1-pentene.</u>

<u>Therefore, the trisubstituted alkene, 2-methyl-2-pentene is the major product and the disubstituted alkene, 2-methyl-1-pentene is the minor product.</u>

7 0
3 years ago
How many TOTAL carbon atoms are their in this equation? A. 1 B. 2 B.4 B. 6
telo118 [61]
What equation, love?
8 0
4 years ago
Read 2 more answers
A student ran the following reaction in the laboratory at 671 K: 2NH3(g) N2(g) + 3H2(g) When she introduced 7.33×10-2 moles of N
vaieri [72.5K]

Answer:

Kc = 8.05x10⁻³

Explanation:

This is the equilibrium:

                 2NH₃(g)   ⇄     N₂(g)     +     3H₂(g)

Initially       0.0733

React         0.0733α          α/2                3/2α

Eq     0.0733 - 0.0733α    α/2                0.103

We introduced 0.0733 moles of ammonia, initially. So in the reaction "α" amount react, as the ratio is 2:1, and 2:3, we can know the moles that formed products.

Now we were told that in equilibrum we have a [H₂] of 0.103, so this data can help us to calculate α.

3/2α = 0.103

α = 0.103 . 2/3 ⇒ 0.0686

So, concentration in equilibrium are

NH₃ = 0.0733 - 0.0733 . 0.0686 = 0.0682

N₂ = 0.0686/2 = 0.0343

So this moles, are in a volume of 1L, so they are molar concentrations.

Let's make Kc expression:

Kc= [N₂] . [H₂]³ / [NH₃]²

Kc = 0.0343 . 0.103³ / 0.0682² = 8.05x10⁻³

3 0
3 years ago
Other questions:
  • Which of the following is a possible ground-state electron configuration?
    7·2 answers
  • What is the best chemistry science fair project
    8·1 answer
  • When ch4(g) reacts with h2o(g) to form h2(g) and co(g), 206 kj of energy are absorbed for each mole of ch4(g) that reacts. write
    9·1 answer
  • A certain alkyl halide forms a carbocation that is more stable than the carbocation formed from isopropyl bromide. What is the m
    6·1 answer
  • When burning 180g of glucose in the presence of 192g of oxygen, water and carbon dioxide are produced?
    9·1 answer
  • describe a way that people might be able to solve each envioronmental problem listed below. coal mining can harm habitats and ca
    8·1 answer
  • What causes radiation?
    8·1 answer
  • Please help!!!!!!!!!!!!!!
    14·1 answer
  • Which of these changes would likely occur if the Earth's rotation on its axis
    14·1 answer
  • On which side of the table are metals and nonmetals located?.
    8·1 answer
Add answer
Login
Not registered? Fast signup
Signup
Login Signup
Ask question!