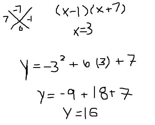
Answer:
(3,16)
Step-by-step explanation:
Factor the equation to find out that the roots are 7 and -1. The vertex's x will be in the center of these two points, so the center point between 7 and -1 is 3. Continue to substitute the x in the equation with 3 to get the other coordinate for vertex.
Answer:
D. 
Step-by-step explanation:
Answer: see proof below
<u>Step-by-step explanation:</u>
Use the following Half-Angle Identities: tan (A/2) = (sinA)/(1 + cosA)
cot (A/2) = (sinA)/(1 - cosA)
Use the Pythagorean Identity: cos²A + sin²B = 1
Use Unit Circle to evaluate: cos 45° = sin 45° = 
<u>Proof LHS → RHS</u>
Given: 
Rewrite Fraction: 
Half-Angle Identity: 
Substitute: 
Simplify: 




= 2
LHS = RHS: 2 = 2 
The diameter of circle B is 50 cm.
Step-by-step explanation:
Given,
The circumference of circle A = 314.159 ft
Diameter of Circle B is half of the diameter of circle A.
Let, the radius of circle A is r
To find the diameter of circle B
Formula
Circumference of a circle of radius r = 2πr
According to the problem,
2πr = 314.159
or, r = 
= 50 (approx)
So,
The diameter of circle A = 2×50 cm = 100 cm
The diameter of circle B = 50 cm.
Answer: 2.308 .
Step-by-step explanation:
Let X denotes the number of earthquakes in SanFernando valley region of Los Angeles in 1994.
Given: 
Probability is 0.87 that there will be at least 15 earthquakes .
i.e. 
![\Rightarrow\ P(\dfrac{X-\mu}{\sigma}\geq\dfrac{15-17.6}{\sigma})=0.87\\\\ \Rightarrow\ P(Z\geq\dfrac{-2.6}{\sigma})=0.87\ \ \ [Z=\dfrac{X-\mu}{\sigma}]](https://tex.z-dn.net/?f=%5CRightarrow%5C%20P%28%5Cdfrac%7BX-%5Cmu%7D%7B%5Csigma%7D%5Cgeq%5Cdfrac%7B15-17.6%7D%7B%5Csigma%7D%29%3D0.87%5C%5C%5C%5C%20%20%5CRightarrow%5C%20P%28Z%5Cgeq%5Cdfrac%7B-2.6%7D%7B%5Csigma%7D%29%3D0.87%5C%20%5C%20%5C%20%5BZ%3D%5Cdfrac%7BX-%5Cmu%7D%7B%5Csigma%7D%5D)
Z-value corresponding to p-value 0.87 is -1.1263 .
So, 

Hence, the required standard deviation = 2.308 .