1answer.
Ask question
Login Signup
Ask question
All categories
  • English
  • Mathematics
  • Social Studies
  • Business
  • History
  • Health
  • Geography
  • Biology
  • Physics
  • Chemistry
  • Computers and Technology
  • Arts
  • World Languages
  • Spanish
  • French
  • German
  • Advanced Placement (AP)
  • SAT
  • Medicine
  • Law
  • Engineering
Viefleur [7K]
4 years ago
9

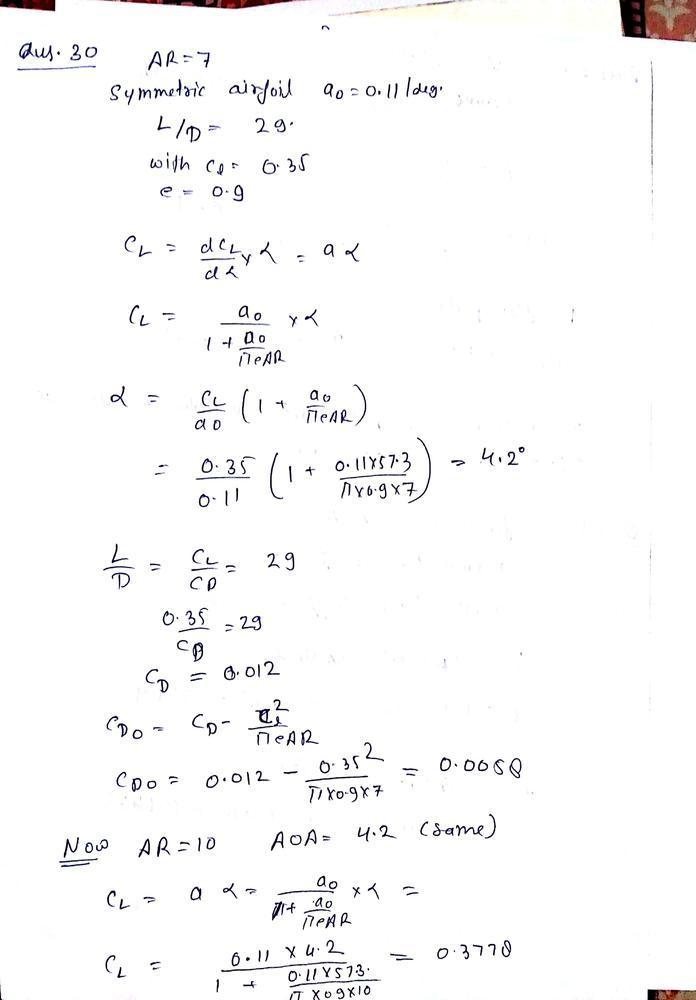
Consider a finite wing with an aspect of ratio of 7; the airfoil section of the wing is a symmetric airfoil with an infinite-win

g lift slope of 0.11 per degree. The liftto- drag ratio for this wing is 29 when the lift coefficient is equal to 0.35. If the angle of attack remains the same and the aspect ratio is simply increased to 10 by adding extensions to the span of the wing, what is the new value of the lift-to-drag ratio

Engineering
1 answer:
kow [346]4 years ago
6 0

Answer:

The solution for this question is attached below:

You might be interested in
How wold you classify the earliest examples of S.T.E.M discoveries provided in this lesson?
Gnoma [55]

Answer:

the answer is C

Explanation:

8 0
3 years ago
The major resisting force in gravity dam? ​
inna [77]

The self weight of dam.

6 0
4 years ago
Read 2 more answers
A college student volunteers with the elderly in a hospice program and discovers her clients complain of dry skin. She has an id
daser333 [38]

Answer:

D

Explanation: She hopes to be able to make this, however she hasn't yet...therefore she is thinking of a concept and it's development

3 0
3 years ago
Read 2 more answers
Document the XSS stored exploit script: Use the View Source feature of the web page and create a screenshot of the few lines cod
Natali [406]

Answer:

Hold on let me ask my brother

Explanation:

5 0
3 years ago
Say that a variable A in CFG G is necessary if it appears in every derivation of some string w ∈ G. Let NECESSARY CFG = {hG, Ai|
ale4655 [162]

Answer:

Explanation:

solution

8 0
3 years ago
Read 2 more answers
Other questions:
  • How does a car batteray NOT die?
    13·1 answer
  • I dont undertand this coding problem (Java):
    8·1 answer
  • Refrigerant-134a enters a diffuser steadily as saturated vapor at 600 kPa with a velocity of 160 m/s, and it leaves at 700 kPa a
    10·2 answers
  • A mass of 8000 kg of slightly enriched uranium (2% U-235, 98% U-238) is exposed for 30 days in a reactor operating at (6.18) hea
    5·1 answer
  • A 50 mol% mixture of propane (1) and n-butane (2) enters an isothermal flash drum at 37°C. If the flash drum is maintained at 0.
    12·1 answer
  • Create an abstract class DiscountPolicy. It should have a single abstract method computeDiscount that will return the discount f
    7·1 answer
  • This just a question that I keep forgetting, are lightskin people black.??
    6·2 answers
  • Who does each person work for? Monica works for a power company, Travis works for a utilities company, and Maggie is self-employ
    15·2 answers
  • If the load parameters are: Vln=600kV, Il=100A (resistive), calculate the source voltage and current when the line is 50Miles (s
    14·1 answer
  • A global resources company uses data-intensive, cloud-based simulation software, but users in remote locations find that the res
    6·1 answer
Add answer
Login
Not registered? Fast signup
Signup
Login Signup
Ask question!