1answer.
Ask question
Login Signup
Ask question
All categories
  • English
  • Mathematics
  • Social Studies
  • Business
  • History
  • Health
  • Geography
  • Biology
  • Physics
  • Chemistry
  • Computers and Technology
  • Arts
  • World Languages
  • Spanish
  • French
  • German
  • Advanced Placement (AP)
  • SAT
  • Medicine
  • Law
  • Engineering
RUDIKE [14]
3 years ago
9

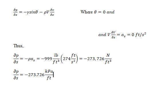
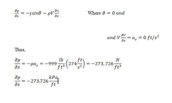
What pressure gradient along the streamline, dp/ds, is required to accelerate air at standard temperature and pressure in a hori

zontal pipe at a rate of 274 ft/s2?

Physics
1 answer:
kenny6666 [7]3 years ago
3 0

Answer:

The answer to this question is attached.

You might be interested in
Electromagnetic force is carried between particles of matter by<br> particles named what
xz_007 [3.2K]

Answer:

gluons

Explanation:

please like and Mark as brainliest

8 0
4 years ago
Is gravity constant over the entire earth surface.<br>Explain why?​
masha68 [24]

Gravity is often assumed to be the same everywhere on Earth, but it varies because the planet is not perfectly spherical or uniformly dense. In addition, gravity is weaker at the equator due to centrifugal forces produced by the planet's rotation

5 0
3 years ago
The temperature differences seen between quito, ecuador, and guayaquil, ecuador, illustrate the effect of _____. ocean currents
Leya [2.2K]
The answer is altitude(:
5 0
3 years ago
Read 2 more answers
What's the process?
Natalka [10]

Answer:

Explanation:

Falling objects form an interesting class of motion problems. For example, we can estimate the depth of a vertical mine shaft by dropping a rock into it and listening for the rock to hit the bottom. By applying the kinematics developed so far to falling objects, we can examine some interesting situations and learn much about gravity in the process.

7 0
4 years ago
The planet Jupiter orbits the Sun at a nearly constant speed. Which of the following statements are true?
RoseWind [281]

Answer:

a. There is a force on Jupiter toward the center of the orbit.

d. Jupiter is accelerating toward the center of the orbit.

Explanation:

Let us look at each of the choices one by one:

a. There is a force on Jupiter toward the center of the orbit.

True. The sun being at the center of Jupiter's orbit, pulls the planet towards it (providing the centripetal force), therefore, there exists a force on Jupiter toward the center of the orbit.

b. There is a force on Jupiter pulling it out from the center of the orbit.

Nope. The centripetal force due to gravity acts towards the center of the orbit.  

c. There is a force on Jupiter in the direction of its motion.

Nope. There exists only the centripetal force acting towards the center of the orbit,

d. Jupiter is accelerating toward the center of the orbit.

Yes. Because of the centripetal force gravity provides, Jupiter is accelerating towards the center of the orbit, but it does not fall in because it has velocity perpendicular to the direction of its acceleration.

6 0
3 years ago
Other questions:
  • Air "breaks down" when the electric field strength reaches 3×106n/c, causing a spark. a parallel-plate capacitor is made from tw
    11·1 answer
  • A skier reaches the end of a 0.9 km track in 1.5 hours, at what speed does it travel?
    6·2 answers
  • Density of copper is 8.96 g/cm3and density of zinc is 7.14 g/cm3. Brass is an alloy made of copper and zinc. You are given a sam
    12·2 answers
  • The answer<br> May someone please help me out.
    11·2 answers
  • A satellite orbits Earth. The only force on the satellite is the gravitational force exerted by Earth. How does the satellite’s
    6·2 answers
  • What causes lightining??
    10·2 answers
  • Observe the given figure and find the the gravitational force between m1 and m2.​
    8·1 answer
  • Which statement best describes an insulator​
    6·1 answer
  • Consider the following three concentric systems two thick shells and a solid sphere all conductors The radii in the increasing o
    6·1 answer
  • PLEASE HELP!!
    5·1 answer
Add answer
Login
Not registered? Fast signup
Signup
Login Signup
Ask question!