(a) 
The relationship beween centripetal acceleration and angular speed is

where
is the angular speed
r is the radius of the circular path
Here we gave
is the centripetal acceleration
r = 5.15 m is the radius
Solving for
, we find:

(b) 21.3 m/s
The relationship between the linear speed and the angular speed is

where
v is the linear speed
is the angular speed
r is the radius of the circular path
In this problem we have

r = 5.15 m
Solving the equation for v, we find

Answer:
The answer is they utilized light in a few spots to enlighten the subjects and to demonstrate their volume as masses.
Explanation:
That is the reason every one of the particles that move at the speed of light (e.g. photons) have zero rest mass. As a molecule with mass methodologies the speed of light, its vitality increments and winds up unbounded at the speed of light, which is the motivation behind why it can never be quickened to achieve that speed. However, you can state that the photon has relativistic mass on the off chance that you truly need to. In current wording, the mass of a protest is its invariant mass, which is zero for a photon.
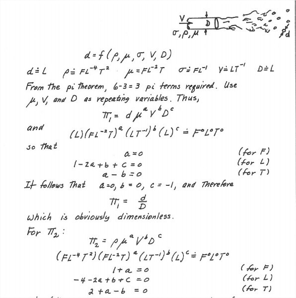
Buckingham π theorem states that an equation involving a certain number 'n' of variables which are expressible in terms of 'k' independent fundamental physical quantities can be expressed in terms of dimensionless parameters.<span>
p = n - k
Keeping the statement of </span><span>Buckingham Pi Theorem,
We can proceed as follows:
Please see the attachments.I hope it helped
</span>
The choices for this question can be found elsewhere and as follows:
short hill.
tall hill.
tightly coiled spring.
<span>stretched-out spring.
</span>
I think the best answer is the third option. A high amplitude sound wave can best be compared to a tightly coiled spring. <span>A </span>high<span> energy </span>wave<span> is characterized by having a </span><span>high amplitude.</span>
Answer:
F= = 3.18 * 10^3 N
Explanation:
information given:
m= 40.5 kg
a= seven times gravity so we have
a= 7 g
where
gravity = g =9.8 m/s2
F= m*a
F= (40.5) * 7g
a = 7 g = (7) (9.8) = 68.6 m/s2
There are two forces acts on gymnsat
Where ,w is the weight of Gymnsat
F(net) = F - mg
F- mg = ma
F = mg+ma
so
F= m ( g + a)
F = (40.5) [9.8+ 68.6 ]
F = 3.18 * 10^3 N